退職教授の見果てぬ夢
趣味の数学研究しか生きがいのなくなった 元応用数学者のつれづれ日記
ページビューの合計
2015年12月12日土曜日
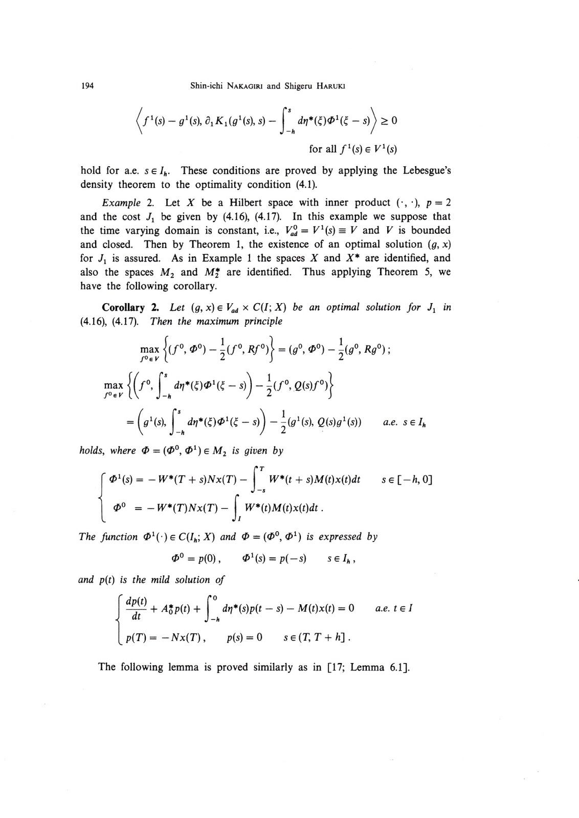
Paper No.40
Paper No.40
Shin-ichi Nakagiri
and
Shigeru Haruki
Optimization of initial functions for linear retarded systems in Banach spaces.
Funkcial. Ekvac.
35
(1992), 179-198.
0 件のコメント:
コメントを投稿
次の投稿
前の投稿
ホーム
登録:
コメントの投稿 (Atom)
0 件のコメント:
コメントを投稿